
(一)山地生态系统碳氮循环与影响机制:山地生态系统具有其独特性,可以在相对较短的海拔高程上反映纬度地带的变化特征,对于山地生态系统碳氮循环的研究一直以来是研究的热点问题之一。然而对于山地生态系统土壤有机碳稳定性及总氮转化过程的研究目前仍存在一定的研究空白。bat365中文官方网站程晓莉教授团队长期聚焦陆地生态系统土壤碳氮磷循环及其微生物机制的相关研究。近期围绕山地生态系统碳氮磷循环的研究,该团队取得了系列研究进展。
1. 玉龙雪山土壤总氮转化的季节格局及潜在机制:土壤氮素转化是全球氮素循环中的一个关键微生物过程,可以改变土壤氮素有效性,进而调节生态系统功能。土壤总氮转化速率可以对氮循环内部的动力学和机制的更深层次的理解,然而目前关于沿海拔梯度季节性的土壤总氮转化过程及其潜在驱动因素仍不清楚。基于此,团队以云南玉龙雪山不同海拔高度(2600 m – 3900 m)森林土壤为研究对象,采用15N同位素稀释技术研究了横断山区土壤氮矿化和硝化的季节性差异及其驱动机制。 结果表明,土壤总矿化速率和净矿化速率沿海拔梯度的升高呈现单峰分布,雨季高,干季低。土壤总硝化速率和净硝化速率均随着海拔的升高而降低,干季高,雨季低。调控干季和湿季氮素转化的主要驱动因子不同,干季的总氮转化过程主要受到土壤理化性质的调控,而湿季的总氮转化过程主要受土壤微生物属性调控。研究结果揭示了季节性氮转化的不同模式和驱动因素。研究结果以“Various seasonal patterns and potential mechanisms of soil nitrogen transformation along an elevational gradient in the Hengduan Mountains.”为题发表在Functional Ecology(IF = 6.28,中科院一区)上。bat365中文官方网站已毕业博士生陈琼为第一作者,程晓莉教授为论文唯一通讯作者。 原文链接: https://doi.org/10.1111/1365-2435.14337

图1:氮矿化和硝化的海拔和季节格局及其驱动因素
2. 玉龙雪山土壤有机碳含量及其稳定性的格局及控制因素:高寒生态系统蕴藏着大量的土壤有机碳。然而,在这些生态系统中,土壤有机碳沿海拔梯度的格局和稳定性(即物理稳定机制和化学稳定机制)尚不清楚。团队基于云南玉龙雪山不同海拔高度(2600 m – 3900 m)的高寒森林和草地为研究对象探究土壤团聚体分布格局、团聚体稳定性和相关有机碳含量的影响,并量化了气候、土壤和铁/铝氧化物对土壤碳稳定性的作用。研究发现草地生态系统原状土和团聚体土壤有机碳含量均高于林地土壤。大团聚体(>2000 μm)、微团聚体(53 ~ 250 μm)、平均质量直径、几何平均直径和有机碳含量均随海拔升高而显著增加,表明土壤碳稳定性随海拔升高变得更加稳定。在所有土地类型中,铁/铝氧化物对有机碳稳定性的影响强于气候和土壤因子。研究结果以“Soil carbon stabilization and potential stabilizing mechanisms along elevational gradients in alpine forest and grassland ecosystems of Southwest China.”为题发表在Catena(IF =6.367,中科院一区)上。bat365中文官方网站bat365中文官方网站博士后Adugna Feyissa为论文第一作者,程晓莉教授为论文唯一通讯作者。原文链接:https://doi.org/10.1016/j.catena.2023.107210.

图2:气候、土壤和矿物变量对山地森林和草地土壤碳含量变化的贡献率
(二)造林对生态系统碳氮磷循环的影响与机制:人类活动(如过度开垦和砍伐等)造成的土地利用变化影响了生态系统的结构和功能。植被恢复是修复生态系统、提升生态系统服务和功能的有效措施之一。bat365中文官方网站程晓莉教授团队长期聚焦造林对生态系统土壤碳氮磷循环的影响。近期围绕造林对生态系统土壤有机碳稳定性、磷有效性、微生物活性等方面的研究,该团队取得了系列研究进展。
1. 造林土壤团聚体微生物适应特征对磷素有效性及碳固持的影响:植被恢复有效地将大气中的碳(C)固持到土壤中,而碳固持的程度受到土壤养分有效性的限制,特别是来自母质的土壤磷(P)素。土壤团聚体中的微生物群落可以调节其组成和代谢活动以响应植被恢复,但其对土壤磷有效性的影响仍不清楚。因此,团队基于亚热带丹江口库区长期(32年)植被恢复生态系统,探究不同土壤团聚体中微生物适应特征如何影响生态系统尺度土壤磷有效性及对碳的固持。研究发现,与农田相比,造林总体上降低了土壤团聚体中总P相对C和氮(N)的积累,但诱导了相对更高的P获取酶活性(即更低的C:P和N:P酶计量比例)。结构方程模型分析结果进一步表明, C:P和N:P酶计量比值主要与大团聚体(> 250 μm)中的真菌丰度相关,但与< 250 μm的细颗粒中的细菌丰度相关。这些结果表明,不同土壤团聚体中微生物群落在克服P限制和应对造林后土壤C:N:P失衡方面表现出不同的策略。研究表明,土壤团聚体微观结构对于理解土壤P素有效性及其对造林后C固存的影响具有重要意义。研究结果以“Microbial adaptations within fine-scale soil structure alleviate phosphorus limitation on carbon sequestration following afforestation”为题发表在Global Biogeochemical Cycles(IF = 6.50,中科院一区)上。华中农业大学资源与环境学院副研究员冯娇(程晓莉老师已出站博士后)为论文第一作者,bat365中文官方网站程晓莉教授为论文唯一通讯作者。原文链接:https://agupubs.onlinelibrary.wiley.com/doi/10.1029/2023GB007691

图3:造林土壤团聚体中微生物适应特征对磷素有效性及碳固持的影响
2. 造林对土壤有机碳稳定性的影响及其与微生物碳利用效率间的关系:森林恢复过程中,土壤固碳的有效性取决于土壤有机碳的稳定性。目前关于森林恢复对土壤有机碳稳定性的影响及其相关的微生物机制还不清楚。团队以丹江口库区造林前后4种典型生态系统(人工林、灌丛、农田和荒地)为研究对象,通过对比分析揭示了森林恢复过程中土壤有机碳稳定性(稳定性有机碳组分占总有机碳的比例)的变化情况,并探讨了这些变化与微生物碳利用效率之间的关系。结果发现,森林恢复显著提高了土壤有机碳各组分的含量但稳定性有机碳所占比例显著降低,且土壤有机碳稳定性与微生物碳利用效率间呈显著的正相关。非造林地(农田和荒地)向造林地(灌丛和人工林)转化过程中,表层土壤(0-10cm)总有机碳含量达到20g/kg后,稳定性有机碳含量不再随着总有机碳含量的增加而增加,但非稳定性有机碳含量则持续增加。该研究表明微生物碳利用效率和表层土壤的碳饱和可能是森林恢复下土壤有机碳稳定性降低的重要机制。研究结果以“Changes in soil organic carbon stability in association with microbial carbon use efficiency following 40 years of afforestation”为题发表在Catena(IF =6.367,中科院一区)上。中国科学院武汉植物园已出站博士后李乾玺和已毕业硕士生家伟为论文共同第一作者,程晓莉教授为论文唯一通讯作者。原文链接:https://www.sciencedirect.com/science/article/abs/pii/S0341816223002709

图4:造林土壤有机碳稳定性和微生物碳利用效率的关系
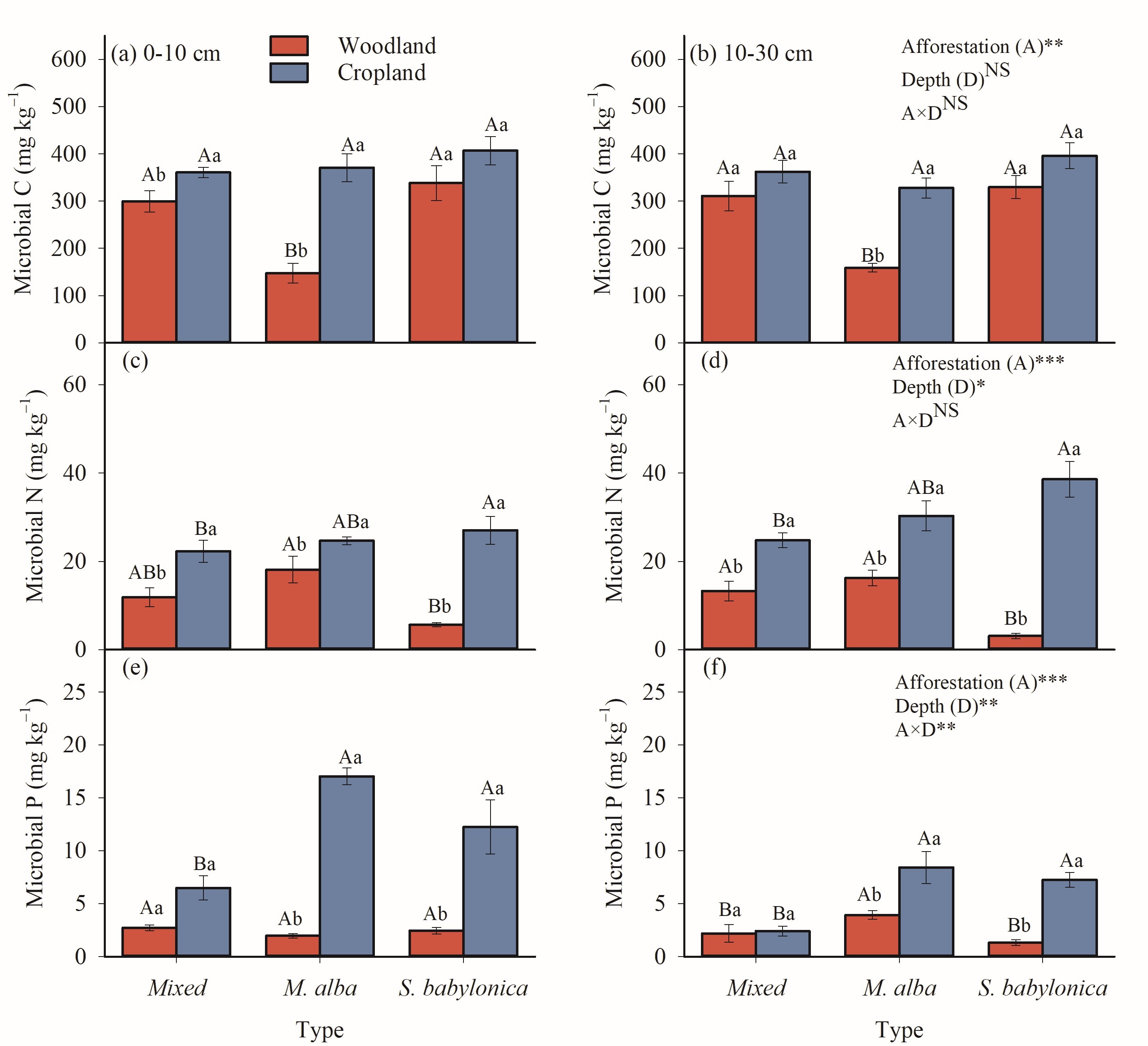
3. 河岸带造林对土壤微生物活性的影响:植树造林对土壤微生物性状,尤其是微生物生物量和酶活性均有影响。然而,短期造林后土壤微生物生物量和酶活性变化的幅度和方向还尚不清楚。团队选取了金沙江河岸带具有15年林龄的造林地为研究对象,探究了土壤微生物量碳(MBC)、微生物量氮(MBN)和微生物量磷(MBP)以及参与C、N和P循环的常见酶活性。研究发现较短期植树造林的会对土壤微生物活性产生负面影响。具体而言,15年的造林降低了不同造林类型和土壤深度的土壤MBC、MBN、MBP及其相应的酶活性,短期造林可能会降低土壤的碳储存和养分循环等功能。研究结果以“Afforestation inhibited soil microbial activities along the riparian zone of the upper Yangtze River of China”为题发表在Forest Ecology and Management(IF = 4.384,中科院一区)上。bat365中文官方网站博士后Adugna Feyissa和已毕业硕士生陈瑞为论文共同第一作者,程晓莉教授为论文唯一通讯作者。原文链接:https://doi.org/10.1016/j.foreco.2023.120998
图5:造林地对土壤微生物量碳氮磷的影响
以上研究均得到国家自然科学基金(32130069)等项目的资助。